Editor’s note: The following was written by Sam Ireland, South Dakota State University Dakota Lakes Research Farm manager, for the university’s website.
People are also reading…
E-edition PLUS unlimited articles & videos
Personalized news alerts with our mobile app
*FREE access to newspapers.com archives
Hundreds of games, puzzles & comics online
*Refers to the latest 2 years of agupdate.com stories. Cancel anytime.
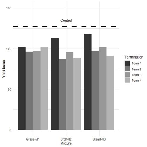
The decision to incorporate cover crops into annual cropping systems should consider historical precipitation, soil water holding capacity, and soil moisture at time of planting.
Photo courtesy USDA NRCS South DakotaEditor’s note: The following was written by Sam Ireland, South Dakota State University Dakota Lakes Research Farm manager, for the university’s website.
Get local news delivered to your inbox!
Recently Listed
Get up-to-the-minute news sent straight to your device.