Seeding rate
- University of Wisconsin
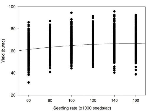
kAmu:8FC6 `] $@J362?\D665 J:6=5 C6DA@?D6 E@ D665:?8 C2E6 7@C D@J362?D A=2?E65 :? =2E6 |2J 2?5 yF?6 :? (:D4@?D:?[ x@H2 2?5 $@FE9 s2<@E2]k^Am
As featured on
With only eight days left in May – as of this writing – and only about 57 percent of the Wis…





